
九州工業大學研究生院的Akiko Hamasaki團隊在《European Journal of Applied Physiology》上發表了題為“Changes in pulmonary oxygen uptake and muscle deoxygenation kinetics during cycling exercise in older women performing walking training for 12 weeks”的研究論文,主要研究了12周步行訓練對老年女性自行車運動中肺攝氧量與肌肉脫氧動力學的影響。
摘要
目的:本研究檢驗了一個假設,即步行訓練(WT)能否加快老年女性運動中緩慢的肺攝氧量(VO?)二期動力學時間常數(τ)。同時,本研究旨在證明,當τVO?縮短時,運動肌肉氣體交換部位的氧氣輸送與氧氣利用之間的匹配程度是否得以改善。
方法:20名習慣于休閑活動(無規律訓練)的老年女性參與了為期12周的步行訓練,頻率為每周3-4次,每次約60分鐘。在訓練前、訓練6周及12周時,評估了受試者在恒定負荷自行車運動測試中的VO?、心率(HR)及脫氧血紅蛋白濃度([HHb])的動力學變化。
結果:整個訓練期間,受試者的攝氧量(VO?max)未見明顯變化。心率時間常數(τHR)在訓練中期呈下降趨勢(58.6 ± 22.0秒),并在訓練后期(51.7 ± 21.7秒)較訓練前(67.1 ± 23.8秒)明顯縮短(p = 0.01)。VO?的時間常數(τVO?)從訓練前的38.9 ± 8.6秒明顯下降至訓練中期的31.5 ± 7.9秒(p = 0.02)及訓練后期的32.3 ± 10.5秒(p = 0.03)。歸一化的[HHb]/VO?比值(Δ[HHb]/ΔVO?)從訓練前的1.32 ± 0.93逐漸趨近于匹配值(= 1.0),在訓練中期為1.15 ± 0.61,訓練后期為1.07 ± 0.52。
結論:步行訓練可使老年女性因增齡或活動減少而減慢的τVO?(約恢復至30秒)得以恢復,反映了肌肉氣體交換部位氧氣輸送與利用的更好匹配。這表明長期步行訓練可作為改善老年人群運動耐力的有效手段。
材料與儀器
研究對象
20名絕經后女性(平均年齡68.5 ± 5.8歲),無規律運動習慣,無心血管、呼吸或代謝性慢性疾病。
主要儀器
Monark 818型自行車功率計
A- E 300S型呼出氣體代謝分析儀、內置氧化鋯O?傳感器、紅外吸收CO?分析儀及熱絲式呼吸流量計
三導聯心電圖儀
Omegawave BOM-L1TRW近紅外組織血氧儀

Omegawave BOM-L1TRW近紅外組織血氧儀
SSA- 660A Xario型超聲診斷設備PowerLab/8s型模數轉換器
實驗過程
所有受試者進行一次逐級遞增負荷的自行車運動測試至力竭,以測定VO?max及通氣閾(VT?)。次日,受試者以80% VT?強度的恒定負荷進行三次重復的自行車運動測試,每次持續5分鐘,間隔20分鐘休息,以評估攝氧量、心率和肌肉脫氧動力學。測試在訓練開始前、第6周及第12周分別進行。
訓練期間,受試者進行為期12周、每周3-4次、每次約60分鐘的步行訓練,強度控制在約40% VO?max(對應心率為30-40% VO?max)。受試者通過自測橈動脈脈搏記錄運動后即刻心率,并填寫訓練日記。訓練強度(%VO?max)通過個體VO?-HR回歸曲線推算。
攝氧量、心率及脫氧血紅蛋白濃度數據通過指數模型擬合,分別計算τVO?、τHR、τ[HHb]等動力學參數。采用左移相I期持續時間的方法,計算運動過渡期內的Δ[HHb]/ΔVO?比值,以評估O?輸送與O?利用的匹配程度。

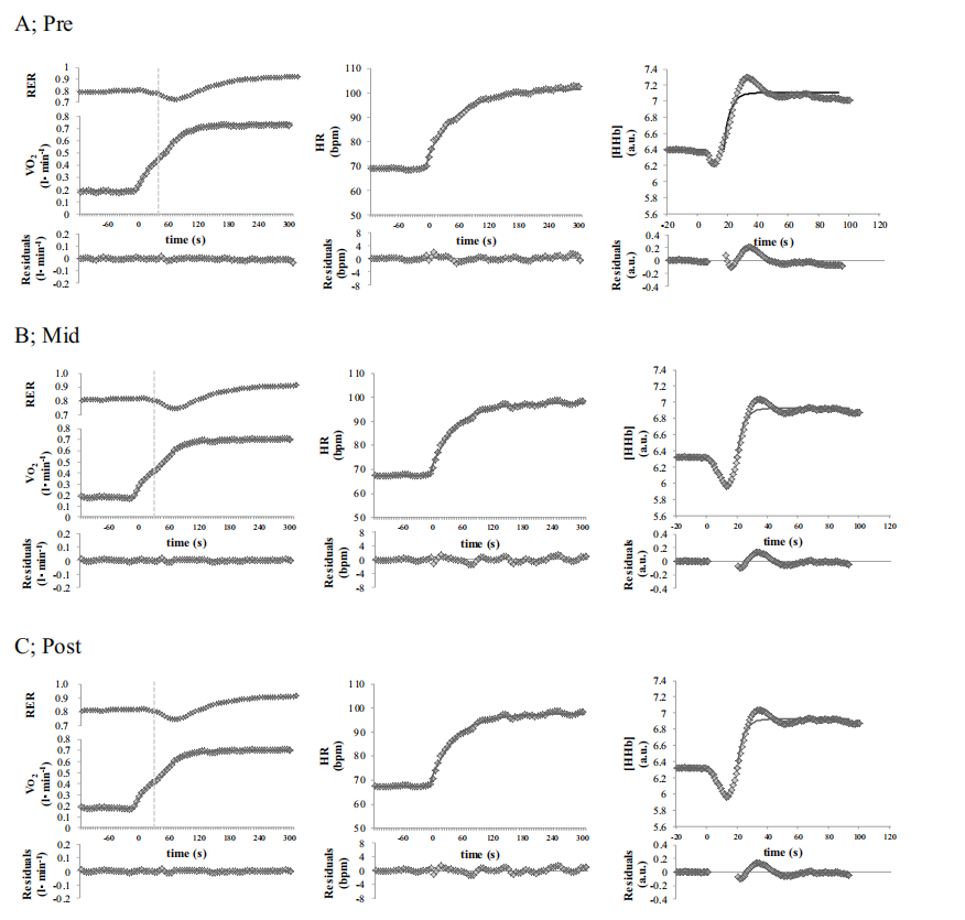
圖1 平均攝氧量(VO?)、呼吸交換率(RER)、心率(HR)和脫氧血紅蛋白濃度([HHb])在恒定負荷運動啟動階段的動力學模型,包含殘差圖。a–c 分別表示步行訓練計劃開始前(Pre)、訓練6周(Mid)和12周(Post)的VO?、RER、HR和[HHb]動力學。左側圖中的垂直虛線表示RER開始下降的時間點,即I期至II期的轉換點。
實驗結論
本研究表明,為期12周、強度約為40% VO?max的步行訓練,可在不提高VO?max的前提下,明顯加快老年女性運動中緩慢的肺攝氧量動力學(τVO?),并使其Δ[HHb]/ΔVO?比值趨近于1.0。這表明步行訓練改善了運動肌肉微循環中血流分布的效率,從而促進O?輸送與O?利用在氣體交換部位更好地匹配。因此,步行作為一種易于融入日常生活的低強度運動,有助于恢復老年女性的運動耐力。
免責聲明